Kpsl Kenaikan Pangkat Secara Lantikan By Acronymsandslang Com
Maksud Kenaikan Pangkat Secara Lantikan Kpsl Layanlah Berita Terkini Tips Berguna Maklumat
A Gloseri
Kenaikan Pangkat Secara Time Based Berasaskan Kecemerlangan Bagi Pegawai Kumpulan Pelaksana Yang Berada Di Gred Lantikan Ppt Download
Jawatan Kosong Suruhanjaya Perkhidmatan Awam Spa April 2014
Http Docs Jpa Gov My Docs Pekeliling Pp02 Bil04 Lampiran B16 Pdf
Sembang Penjawat Awam Kakitangan Kerajaan Pekeliling Perkhidmatan Bilangan 10 Tahun 2013
Https Docs Jpa Gov My Docs Se 2009 Se02062009 Pdf
Http Docs Jpa Gov My Docs Se 2009 Se030720091 Pdf
Borang Peperiksaan Kenaikan Pangkat Secara Lantikan Kpsl
Pekeliling Guru 2011
Https Www Rurallink Gov My Wp Content Uploads 2015 05 8 Sukatan Kpsl S41 Pdf
Kenaikan Pangkat Secara Lantikan
Ppt Borang Permohonan Menghadiri Peperiksaan Khas Kenaikan Pangkat Secara Lantikan Kpsl Powerpoint Presentation Id 4518559
Kpsl Kenaikan Pangkat Secara Lantikan
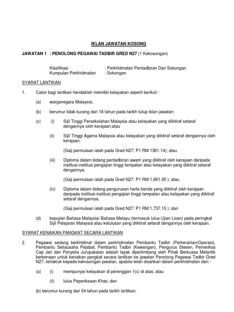
Iklan Jawatan Kosong Jawatan 1 Penolong Pegawai Tadbir Gred N27 1 Kekosongan
Kenaikan Pangkat Secara Time Based Berasaskan Kecemerlangan Bagi Pegawai Kumpulan Pelaksana Yang Berada Di Gred Lantikan
Sukatan Peperiksaan Khas Ujian Kemahiran Sabah
Http Docs Jpa Gov My Docs Pp 2017 Pp102017 Pdf